Autor : Larrateguy, Santiago1-2, Burgos, Santiago3, Iglesias, Rocío4, Carrizo, Laura5, Cestari, Martín6, Saavedra, Santiago7, Cigarra, Cecilia8, Larrateguy, Luis2, Otto-Yáñez, Matías9, Gimeno-Santos, Elena10-11, Torres-Castro, Rodrigo12
1Universidad Adventista del Plata - Entre Ríos (Argentina) 2Centro Privado de Medicina Respiratoria – Entre Ríos (Argentina) 3Hospital Regional Ushuaia - Tierra del Fuego (Argentina) 4Centro Privado de Rehabilitación - Buenos Aires (Argentina) 5Consultorio Privado de Rehabilitación Respiratoria - Catamarca (Argentina) 6Kinesiology Service, Hospital Dr. H. Notti - Mendoza (Argentina) 7Department of Physical Medicine and Rehabilitation, Hospital Alemán - CABA (Argentina) 8HIGA Petrona Villegas de Cordero Buenos Aires (Argentina) 9Research Group on Health, Functionality and Physical Activity (GISFAF, for its acronym in Spanish), Kinesiology, Faculty of Health Sciences, Universidad Autónoma de Chile - Santiago (Chile) 10Instituto de Salud Global de Barcelona (ISGlobal) - Barcelona (España) 11Hospital Clínic de Barcelona, Instituto de Investigaciones Bimédicas August Pi i Sunyer (IDIBAPS) – Barcelona (España) 12Department of Kinesiology, Universidad de Chile - Santiago (Chile)
https://doi.org/10.56538/ramr.QOBC1994
Correspondencia : Rodrigo Torres-Castro. E-mail: rodritorres@uchile.cl
ABSTRACT
Background: The one-minute sit-to-stand test (1min-STST) is a field test used to
assess physical capacity. It is easy to use and has great clinical utility;
however, no reference values are currently available for the Argentine
population. The objective of this study was to establish reference values for
the 1min-STST in a healthy Argentine population.
Methods: A multicenter cross-sectional study was conducted, collecting data from
seven locations across Argentina. Healthy adults aged 18 to 80 were recruited.
Anthropometric variables, smoking status, Borg scale ratings, and number of
repetitions during the 1min-STST were recorded, among other variables.
Reference values were determined by sex and age range.
Results: The study included 314 healthy subjects (50.6% women, n=159; median
height of 168.7 cm [9.1], weight of 75.4 kg [14.7], and an average BMI [Body
Mass Index] of 22.3 ± 3.7 kg/m²). The median (and the lower limit of normality,
LLN) for the 1min-STST in men ranged from 44 repetitions (LLN 22) for those
aged 20-29 to 22 repetitions (LLN 19) for those aged 70-80. For women aged
20-29, the median was 46 repetitions (LLN 17), while for those aged 70-80, it
was 30 (LLN 17).
Conclusions: This study established reference values for the healthy adult population
of Argentina, providing a useful tool for assessing functional capacity using
the 1min-STST.
Key words: Functional capacity, Field tests, Reference values, Sit-to-Stand Test,
Physical performance
RESUMEN
Introducción: La prueba de sentarse y pararse en un minuto (1min-STST) es una prueba de
campo utilizada para evaluar la capacidad física. Es de fácil
implementación y tiene una gran utilidad clínica; sin embargo, no
existen valores de referencia disponibles actualmente para la población
argentina. El objetivo de este estudio fue establecer valores de referencia
para el 1min-STST en una población argentina sana.
Métodos: Se llevó a cabo un estudio transversal multicéntrico, con
recolección de datos en siete localidades de Argentina. Se reclutaron
adultos sanos entre 18 y 80 años. Se registraron variables
antropométricas, estado de tabaquismo, calificaciones en la escala de
Borg y el número de repeticiones durante el 1min-STST, entre otras. Los
valores de referencia se determinaron según sexo y rango etario.
Resultados: Se incluyeron en el estudio 314 sujetos sanos (50,6 % mujeres, n =
159; mediana de altura de 168,7 cm (9,1), peso de 75,4 kg (14,7) y un IMC
promedio de 22,3 ± 3,7 kg/m². La mediana (y el límite inferior de
normalidad [LIN]) para el 1min-STST en hombres varió de 44 (LIN 22)
repeticiones para aquellos entre 20 y 29 años a 22 (LIN 19) repeticiones
para aquellos entre 70 y 80 años. Para mujeres de 20-29 años, la
mediana fue de 46 (LIN 17) repeticiones, mientras que para aquellas de 70-80,
la mediana fue de 30 (LIN 17) repeticiones.
Conclusiones: Este estudio estableció valores de referencia para la
población adulta sana de Argentina y proporcionó una herramienta
útil para evaluar la capacidad funcional mediante el 1min-STST.
Palabras clave: Capacidad funcional, Pruebas de campo, Valores de referencia, Prueba de
sentarse y pararse, Rendimiento físico
Received: 12/10/2024
Accepted: 02/14/2025
INTRODUCTION
Functional capacity is defined as
the ability to perform daily tasks at home, school, or work with enough energy
to enjoy recreational activities and to deal with periods of additional effort
or illness.1 It involves
different aspects such as strength, endurance, flexibility, and speed, all of
which have a direct impact on physical performance and overall health.2 This capacity
is essential not only for everyday activities but also to participate in
sports and recreational activities.2
The assessment of functional capacity
is a fundamental process for defining the fitness level of a person.3 This
assessment can be carried out in laboratories or though field tests.4 Each method
has advantages and disadvantages: the laboratory provides more accurate and
controlled measurements, for example gas and lactate analysis, whereas the
field tests are more practical and accessible for clinical professionals, since
they evaluate performance in situations that are more representative of daily
life.5 Field tests
become particularly important when there are limited resources for laboratory
evaluations, because they allow a reasonable estimation of the functional
capacity without requiring expensive or specialized equipment.6
Also, these tests are especially useful in areas where access to
lab facilities is limited, providing a comprehensive view of the physical
condition of the population.7
The 6-Minute Walk Test (6MWT) has
been widely used as a standard for evaluating functional capacity in various
population groups given its simplicity and efficacy.6
But, in contexts where it is not possible to perform the 6MWT,
probably due to the lack of an adequate space, the One- Minute Sit-to-Stand
Test (1min-STST) comes up as a viable alternative.9
The 1min-STST has proven to be specially valuable for evaluating
and monitoring patients with respiratory or cardiovascular diseases, providing
relevant information about the functional capacity of those patients, as well
as the efficacy of the therapies used.11
Also, recent studies indicate that the 1min-STST can be a valid
and reliable tool for measuring functional capacity in patients with chronic
respiratory diseases.12,13
The existing literature has shown
the psychometric properties of the 1min-STST for quantifying functional
capacity, supporting its validity and reliability.14,15 Ensuring the
validity and consistency of these tests is crucial for accurately measuring
the functional capacity of an individual.16
Thanks to its features, the
1min-STST has found a relevant place in the rehabilitation field, as an
accessible, effective tool for monitoring patients in primary care level and
telerehabilitation.17,18 This modality allows for a more convenient
and accessible administration, simplifying the remote evaluation and tracking
of the patients’ progress over time.19
This is beneficial for both healthcare professionals and
patients, since it improves the quality of rehabilitation and care.20
In order to analyze the results
of the 1min- STST, it is very important to have reference values that help
determine if an individual’s performance falls within the normal range
according to their age group and specific conditions.21
Currently, the mostly used reference values come from a Swiss
population.22 These values
provide normative data that can be used to interpret results in different
populations and different clinical contexts. Still, they were established in a
population that has different characteristics in terms of lifestyle, with less
sedentary behavior, and lower prevalence of obesity compared to the Latin
American population. This could be an overestimation of the expected
performance for local subjects.23 Also, recent studies have found significant differences in
terms of cardiorespiratory responses between the 6MWT and the 1min-STST in
adults with advanced lung diseases, highlighting the need to adapt the reference
values to each clinical context.24
Even though existing reference
values serve as a starting point, it is crucial to consider variability across
different populations and contexts. Factors such as age, sex, physical
activity level, and specific health conditions can affect the results.21 There are ethnic, anthropometric, sociocultural and dietary
reasons that justify the need to set local reference values in order to
evaluate functional capacity in a more accurate and personalized manner. For
this reason, the objective of this study was to determine reference values of
the 1min-STST for a healthy adult population aged 18 to 80 years in Argentina.
Methodology
A cross-sectional study was
conducted in 7 primary care and rehabilitation centers located in different
geographic regions of Argentina (Paraná, Autonomous City of Buenos
Aires, Tandil, Ushuaia, Catamarca, Mendoza and San Fernando) between December
2022 and September 2023. The cities were intentionally selected to cover
different areas of the country and increase geographic representativeness. The
study was approved by the IPIER Ethics Committee, CE000344. All participants
provided written informed consent. This study was conducted following the
guidelines of “Strengthening the Reporting of Observational Studies in
Epidemiology” (STROBE).25 The participants were recruited from the general population,
with a uniform strategy across all centers. Information about the study was
disseminated through posters in the recruiters’ social media, physical posters
placed inside and outside the evaluation centers and e-mails sent to people who
voluntarily showed interest in participating and met the inclusion criteria,
without meeting any of the exclusion criteria. Inclusion criteria: adults aged
18-80 years, self-declared as healthy,26 and able to perform the sit-to-stand maneuver
without assistance. Exclusion criteria: subjects with a BMI ≥ 35,
respiratory diseases (acute or chronic within the past 30 days), limiting
musculoskeletal disorders, or cardiac, neurological, or neuromuscular diseases
that could interfere with the test. Also subjects who had difficulty
understanding or following instructions were excluded (Figure 1).

Measurements
Each participant was evaluated in
a single visit following a standardized evaluation order. First, anthropometric
and demographic characteristics were recorded. With regard to smoking status,
the participants indicated whether they were “never smokers”, “former smokers”
or “current smokers”.
The 1min-STST involved one simple
movement: standing up from a chair to adopt the bipedal position with the hips
and knees fully extended and without using the upper extremities for support.27 The chair was
standard, 46 cm high with thoracic lumbar support and no armrests.28 The
participants were seated upright with their back against the backrest of the
chair, which was placed against the wall. Their knees and hips were flexed and
their feet on the floor, shoulder-width apart. Meanwhile, their hands were
placed on opposite shoulders with their elbows flexed. The participants were
instructed to perform as many repetitions as possible in one minute. The evaluators
explained and demonstrated the sit-to-stand technique to the participants.
Then, the participants practiced the movement under supervision. Corrections
were applied when necessary to ensure the technique was properly used before
making the final measurement. The number of times the participants were able to
sit and stand completely was recorded as the primary variable, and a single
measurement of the 1min-STST was taken.29 Additionally, both before
and after the test, pulse rate and SpO2
were measured with a Nonin®
9590 pulse oximeter (Nonin Medical Inc., Plymouth, MN, USA),
along with dyspnea and fatigue of the lower extremities, which were assessed
using the Modified Borg Scale.30
In order to ensure the
standardization of the measurements, training sessions were carried out, where
all the evaluators were instructed to record how they were running the test in
three opportunities, using a volunteer as pilot subject. Those recordings were
used to corroborate the proper evaluation technique and adherence to the study
protocol. Once the recordings were validated, the evaluators were authorized to
begin taking measurements at their respective centers.31
Statistical analysis
Descriptive analysis
Data were analyzed using the IBM
SPSS statistical software, version 25.0 (IBM Corporation, Armonk, NY, USA). The
Kolmogorov-Smirnov test was used to verify data distribution. Numerical
variables were presented as mean and standard deviation (SD), and qualitative
variables were reported as frequency and percentage. Also, a correlation
analysis was performed using the Pearson or Spearman tests, according to the
distribution of the data, for quantitative variables (age, weight, height, BMI,
heart rate, SpO2,
dyspnea and lower extremities fatigue) in relation to the results of the 1min-STST.
To establish the reference values, previously defined categories were used,32 generating
specific normative percentiles specific to sex and age (percentiles: 2.5, 25,
50, 75 and 97.5). The lower limit of normality (LLN) and the upper limit of
normality (ULN) were determined with the 2.5th and 97.5th percentiles,
respectively.
Predictive analysis
To explore factors associated
with performance on the 1min-STST, a multiple linear regression was used with
the number of repetitions as the dependent variable. In the preliminary
analysis, demographic and clinical variables were taken into account, including
age, sex, height, weight and smoking history. However,
only the variables that contributed significantly to the model fit were
retained in the final model, prioritizing simplicity and clinical
applicability. The homoscedasticity of the model was evaluated through the
Breusch- Pagan Test. The Enter method was used to generate the most suitable
predictive model. The results of the model are presented with the coefficient
of determination (R²) and the root mean square error (RMSE). Scatter plots were
used to describe the relationship between age, sex, and performance on the
1min-STST.
Sample size calculation
The sample size was estimated
using the Cochran formula for large populations: n = (Z² * p * (1-p)) / e²,
where Z corresponds to the z value for a 90% confidence level (1.645), p
corresponds to the expected proportion (0.5), and e to the margin of error
(0.05). The calculation assumed a simple sample design without considering a
design effect, as the study tried to represent the general population through
open recruitment in different regions of the country. Basing on these
parameters, a minimum required sample size of 271 participants was determined.
No additional adjustment was made for non-response rate in the calculation.
RESULTS
Of the 353 recruited individuals,
39 were excluded: 25 due to a history of heart disease and 14 due to joint
disorders that prevented them from performing the test. The data from 314
patients were analyzed: 159 women (50.6%) and 155 men (49.4%). 15.9% of the
participants reported being smokers. Table 1 below shows the demographic and
clinical characteristics of the population.

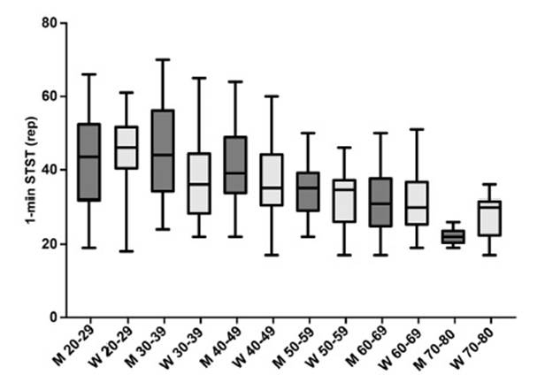
Reference values for the
1min-STST were determined for the Argentine population, broken down by sex and
age range (Table 2). The median number of repetitions varied among women from
46 repetitions in the 20-29 age group to 30 repetitions
in the oldest age group (70-80 years). This shows a progressive decline with
age. Men showed a median of 44 repetitions in the 20-29 age group, and 22
repetitions in the same oldest age group, also showing a decline with age
(Figure 2).


A difference in the number of
repetitions is observed basing on sex: men in the younger age groups tend to
have higher values compared to women of the same age group. However, these differences
tend to decrease in the groups of older age, where men and women values are
more similar. Figures 3 and 4 illustrate the relationship between age and
repetitions in men and women, showing the regression lines, the 95% confidence
bands, and the p-value. The Breusch-Pagan Test showed significant evidence of
heteroscedasticity (p < 0.001), indicating that the variance of the
residuals was not constant across the prediction range.


The analysis of the correlations
between the values of the 1min-STST and age revealed a moderate inverse
relationship (Spearman’s rho = -0.485; p < 0.001). A very low inverse
correlation was observed with weight (Spearman’s rho = -0.081; p = 0.152), and there
was a weak inverse correlation with the BMI (Spearman’s rho = -0.130; p =
0.022). There was no significant correlation with height (Spearman’s rho =
0.093; p = 0.100).
Reference equation
Age, height, and sex variables
were found to be significant predictors in the linear regression analysis,
where age and height showed a negative association (that is to say, the greater
the age and height, the fewer the number of repetitions), and being a male was
associated with an increase in performance. Based on the given coefficients,
the predictive equation for the number of repetitions in the 1min-STST is:
1min-STST (rep) = 80.324 – 0.372 ×
Age – 0.168 × Height + 4.075 × Sex
Where age is expressed in years,
height in centimeters and sex is coded as 0 for women and 1 for men. The model
presents an R² of 0.26 (p< 0.001) and a RMSE of 10.1. The development of the
equation was based on an exploratory analysis that included demographic and
clinical variables potentially associated with 1min-STST performance such as
age, sex, height, weight and smoking history. Variables such as weight, height,
BMI, and smoking history didn’t show statistically significant associations in
the final model. For this reason, only the variables that showed a statistically
significant association were included.
DISCUSSION
This study established reference
values for the 1-min STST in healthy adults aged 18 to 80 years in Argentina,
providing a tool to interpret clinical results in contexts lacking local
normative data. By offering these reference values, our research aims to
provide valuable information and guidance for assessing performance on the
1min-STST in populations with comparable demographic characteristics, thereby
helping healthcare professionals and researchers evaluate functional capacity
in a more contextualized manner.
The importance of adapting
reference values to the local population should not be underestimated,21 as the use of international
standards may not accurately reflect the characteristics of our population. In
this regard, one of the strengths of our study was the standardization of the
protocol across all participating centers, guaranteeing that the data obtained
are consistent, comparable, and representative of the geographic and
demographic diversity of Argentina.
Our results showed that 1min-STST
performance decreases with age, with a moderate inverse correlation
(Spearman’s rho = -0.485; p < 0.001). This reflects the general trend of
declining functional capacity with aging in both sexes. This is consistent with
previous studies that identify age as a key factor associated with performance
on this test.22 However, when analyzing this
association separately by sex, we observed that the explanatory power of age
was higher in men (R² = 0.29) compared to women (R² = 0.19), though it remained
limited in both cases. Also, no significant correlations were observed with
height (rho = 0.093; p = 0.100), whereas weight and BMI showed very low or weak
correlations, respectively. Nevertheless, height was found to be a significant
variable in the multivariable model. This can be explained by the fact that
regression adjusts the effect of each variable and at the same time takes into
account the others, revealing its independent contribution to performance on
the 1min-STST, which is not evident in the bivariate analysis. This phenomenon
has been described before, where bivariate analyses may hide latent
relationships that are only apparent in more complete multivariable models.33
These findings reinforce the fact that,
while age is the main determinant observed in our population, other
anthropometric factors seem to have less influence on the performance of the
1min-STST. The multivariable equation, which included age, sex, and height as
predictors, showed limited explanatory power (R² = 0.26), indicating that other
factors not accounted for could affect the performance of the 1min-STST. It
should be noted that the model was not subjected to additional tests for
internal validation, residual normality, or multicollinearity, and that it
showed heteroscedasticity, which limits the precision of its estimates. For
these reasons, it should be interpreted as an exploratory and guiding tool,
and not as a definitive predictive model for clinical use. Despite these
limitations, the performance of the model is consistent with the information
reported in the literature.34 An equation was proposed based
on age, sex and BMI with an R² of 26%, while in Chile,35 age and height were included
and reported an R² of 26% in women and 32% in men. Even though the included
variables differ partially between studies, their explanatory power is
similar, and this reinforces the methodological validity of our proposal. These
similarities suggest that the limited predictive capacity observed is a common
characteristic in this type of model, probably due to the influence of multiple
factors not considered in population-based studies.
An important aspect of these
reference values is the inclusion of subjects with a BMI of up to 35 kg/m². The
reasoning behind this decision lies in the fact that the Latin American
population has significant overweight and obesity rates, often exceeding 25% of
the whole population.23 Therefore, from a clinical
perspective, it is anticipated that two to three out of ten end users of these
tests will have obesity. It is worth noting that our approach aligns with
previous studies, such as that of Furlanetto et al, who also used a BMI value
that was above what is considered normal weight.36
Another key aspect for having
specific reference values is that using standardized values from other
populations could lead to misinterpretations and incorrect diagnoses, as
individual variations could not be adequately accounted for.37 For this reason, the ATS/ERS
(American Thoracic Society/European Respiratory Society) Statement recommends
using reference values of the same population in which the procedures will be
applied.38
This is especially relevant if we consider that, in certain
populations (for example, patients with pulmonary arterial hypertension),
performance on the 1min-STST has shown a strong correlation with quality of
life and functional limitation. So, using reference values that don’t reflect
the reality of these specific conditions could result in an underestimation or
overestimation of the functional health status.13
An important thing to consider is
how representative the sample is in the context of the Argentine population.
The study by Strassmann et al included around 7.000 subjects.22 Reaching such a number is a big challenge, especially in the
group of subjects aged 60 years and over. Comparatively
speaking, in previous Latin American studies, Furlanetto et al evaluated
approximately 300 individuals in Brazil, a country with a population of 215
million. Our reference values were obtained from just over 300 subjects
in a population of 45 million. Even though the sample size was calculated with
90% confidence level, getting a larger sample in the group of subjects aged 60
years and over is still a challenge due to the prevalent health conditions and
sedentary lifestyle within this group.
Various studies conducted in
recent years in our population, especially in post-COVID-19 patients, have used
the Strassman values.20,39
Since the Swiss values are 30% higher than ours, there has been
an underestimation of functional capacity. This reinforces the importance of
having our own values for a proper characterization of the local population.
Our median values (p50) show
similarities and differences compared to those reported in Brazilian studies
regarding the 1min-STST.36 It is worth noting that said
studies express results as means, whereas our results are presented as medians,
and this could affect direct comparisons. 30 repetitions were observed in women
aged 60 to 69 years, slightly above the Brazilian average of 29 repetitions
(3.4% higher). Conversely, men aged 70 to 80 years showed a lower performance,
with 22 repetitions compared to the 27 repetitions reported in Brazil (18.5%
lower). However, in most age groups, results were consistently higher. For
example, in women aged 20 to 29 years, 46 repetitions were achieved (21% higher
than the 38 reported in Brazil), and in men aged 40 to 49 years, 39 repetitions
were recorded compared to 31, representing a 26% difference.
These differences can be
explained by several factors, such as demographic and anthropometric
characteristics. Sociocultural factors, for example higher levels of physical
activity or lifestyle differences, could also play an important role.
When compared to the values
presented by Strassmann et al,22 significant differences were
observed in several age groups. In women aged 60 to 69 years, our results (30
repetitions) were slightly lower than the 33 reported in that study. Similarly,
in men aged 40 to 49 years, Strassman reported 45 repetitions, six more than
the 39 repetitions observed in our sample. This pattern of higher performance
according to Strassman was repeated in other groups, like women aged 40 to 49
years (42 versus 35 repetitions, respectively). An exception was observed in
women aged 70 to 80 years, where our values exceeded those of Strassmann (30
versus 28 repetitions). In contrast, our results in men of the same age range
were lower again (22 versus 24 repetitions).
In summary, the values previously
reported by Strassmann consistently showed higher performance in older men and
women, while the values reported by Furlanetto tend to be more similar to ours.22,36
Our values differ from those shown in the literature, especially
with regard to male values, which are lower than those reported by Strassmann.
The most probable explanation is a selection bias due to the relatively small
sample size in some subgroups.
One limitation of our study is
the reduced number of subjects over 60 years. This may be due to the fact that
older adults tend to have sedentary lifestyles and a higher prevalence of
non-communicable diseases, making it more difficult to obtain a population
considered “healthy”. The classification of apparently healthy individuals was
determined on self-reporting and the absence of diagnosed medical conditions.
However, it is worth noting that including individuals with undiagnosed
conditions is a prevalent characteristic in studies involving large population
samples intended to establish reference parameters. Another limitation of this
study is that the sampling didn’t have a probabilistic approach. This could
have introduced a bias in the selection of participants, since those who
accepted the invitation could differ in characteristics from those who didn’t.
One aspect that wasn’t recorded was the socioeconomic situation, which could
have affected the results. Another methodological limitation is the fact that
the health criteria were self-reported-an approach commonly used in
population-based studies,26 though we acknowledge that
this strategy may not fully exclude undiagnosed conditions.
Finally, another limitation is
that we conducted only one repetition of the 1min-STST. The literature doesn’t
clarify whether this test has a learning effect or not. However, it seems that
in healthy individuals or those without substantially reduced functional
capacity, there could be a learning effect that Furlanetto et al estimated to
be around one repetition.36 Another recent article suggests that
three repetitions of the 1min-STST are necessary for observing the true
performance of a young individual, but, in older adults, a single attempt may
be enough.40 There is certainly no
consensus on the number of tests required, and it seems that healthy
individuals show a greater learning effect than those with health conditions.
Therefore, future studies should explore if certain strategies such as practice
of test execution reduce this learning effect.
CONCLUSION
Reference values for the
1min-STST were determined for the healthy Argentine population aged 18 to 80
years. These values provided a simple and cost-effective means of measuring
functional capacity. They can be really useful for evaluating and determining
the effects of interventions that involve assessing the functional capacity
with this test.
Conflict of interest
The authors have no conflict of
interest to declare with regard to this research.
Funding
No funding was received for this
research.
REFERENCES
1. Barnekow-Bergkvist M, Hedberg
G, Janlert U, Jansson E. Development of muscular endurance and strength from adolescence
to adulthood and level of physical capacity in men and women at the age of 34
years. Scand J Med Sci Sports. 1996;6:145-55.
https://doi.org/10.1111/j.1600-0838.1996.tb00082.x
2. Vanhees L, Lefevre J,
Philippaerts R, et al. How to assess physical activity? How to assess physical
fitness? Eur J Cardiovasc Prev Rehabil. 2005;12:102-14.
https://doi.org/10.1097/00149831-200504000-00004
3. American College of Sports
Medicine, Liguori G, Feito Y, Fountaine CJ, Roy B, editores. ACSM’s
guidelines for exercise testing and prescription. Eleventh
edition. Philadelphia Baltimore New York London Buenos Aires Hong Kong
Sydney Tokyo: Wolters Kluwer; 2022. 513 p.
4. Torres-Castro R, Núñez-Cortés R,
Larrateguy S, Alsina- Restoy X, Barberà JA, Gimeno-Santos E, et al. Assessment of Exercise Capacity in Post-COVID-19 Patients: How Is the
Appropriate Test Chosen Life. 2023;13:621.
https://doi.org/10.3390/life13030621
5. Tran D. Cardiopulmonary
Exercise Testing. En: Guest PC, editor. Investigations of
Early Nutrition Effects on Long-Term Health [Internet]. New York, NY:
Springer New York; 2018 [citado 19 de noviembre de 2024]. p.
285- 95. (Methods in Molecular Biology; vol. 1735).
https://doi.org/10.1007/978-1-4939-7614-0_18
6. Holland AE, Spruit MA,
Troosters T, et al. An official European Respiratory Society/American Thoracic
Society technical standard: field walking tests in chronic respiratory
disease. Eur Respir J. 2014;44:1428-46.
https://doi.org/10.1183/09031936.00150314
7. Fell BL, Hanekom S, Heine M.
Six-minute walk test protocol variations in low-resource settings – A scoping
review. South Afr J Physiother 2021;77:1549.
https://doi.org/10.4102/sajp.v77i1.1549
8. Kronberger C, Mousavi RA,
Öztürk B, Willixhofer R, Dachs TM, Rettl R, et al. Functional
capacity testing in patients with pulmonary hypertension (PH) using the
one-minute sit-to-stand test (1-min STST). PLOS ONE. 2023;18:e0282697.
https://doi.org/10.1371/journal.pone.0282697
9. Peroy-Badal R, Sevillano-Castaño A, Torres-Castro
R, et al. Comparison of different field tests to assess the
physical capacity of post-COVID-19 patients. Pulmonology.
enero de 2024;30:17-23.
https://doi.org/10.1016/j.pulmoe.2022.07.011
10. Spence JG, Brincks J,
Løkke A, Neustrup L, Østergaard EB. One-minute sit-to-stand test
as a quick functional test for people with COPD in general practice. Npj Prim
Care Respir Med. 2023;33:11.
https://doi.org/10.1038/s41533-023-00335-w
11. Kronberger C, Mousavi RA,
Öztürk B, et al. Exercise capacity assessed with the one-minute
sit-to-stand test (1-min STST) and echocardiographic findings in patients with
heart failure with preserved ejection fraction (HFpEF). Heart
Lung. 2022;55:134-9.
https://doi.org/10.1016/j.hrtlng.2022.05.001
12. Crook S, Büsching G,
Schultz K, Lehbert N, Jelusic D, Keusch S, et al. A
multicentre validation of the 1-min sit-to-stand test in patients with COPD.
Eur Respir J. 2017;49:1601871.
https://doi.org/10.1183/13993003.01871-2016
13. Kronberger C, Willixhofer R,
Mousavi RA, Grzeda MT, Litschauer B, Krall C, et al. The one-minute
sit-to-stand-test performance is associated with health-related quality of life
in patients with pulmonary hypertension. PLOS ONE.
2024;19:e0301483.
https://doi.org/10.1371/journal.pone.0301483
14. Tanriverdi A, Kahraman BO,
Ozpelit E, Savci S. Test–Retest Reliability and Validity of 1-Minute
Sit-to-Stand Test in Patients With Chronic Heart Failure. Heart Lung Circ. 2023;32:518-24. https://doi.org/10.1016/j.hlc.2023.01.008
15. Bohannon RW, Crouch R. 1-Minute
Sit-to-Stand Test: SYSTEMATIC REVIEW OF PROCEDURES, PERFORMANCE, AND
CLINIMETRIC PROPERTIES. J Cardiopulm Rehabil
Prev. 2019;39:2-8.
https://doi.org/10.1097/HCR.000000000000033635
16. Souza ACD, Alexandre NMC, Guirardello EDB, Souza ACD,
Alexandre NMC, Guirardello EDB. Propriedades psicométricas na
avaliação de instrumentos: avaliação da
confiabilidade e da validade. Epidemiol E Serviços Saúde. 2017;26:649-59. https://doi.org/10.5123/S1679-49742017000300022
17. Sisó-Almirall A, Brito-Zerón P, Conangla
Ferrín L, et al. Long Covid-19:
Proposed Primary Care Clinical Guidelines for Diagnosis and Disease Management.
Int J Environ Res Public Health. 2021;18:4350.
https://doi.org/10.3390/ijerph18084350
18. Dalbosco-Salas M,
Torres-Castro R, Rojas Leyton A, et al. Effectiveness of a Primary Care
Telerehabilitation Program for Post-COVID-19 Patients: A Feasibility Study. J
Clin Med. 2021;10:4428.
https://doi.org/10.3390/jcm10194428
19. Holland AE, Malaguti C,
Hoffman M, et al. Home-based or remote exercise testing in chronic respiratory
disease, during the COVID-19 pandemic and beyond: A rapid review. Chron Respir
Dis. 2020;17:1479973120952418.
https://doi.org/10.1177/1479973120952418
20. Dias JF, Oliveira VC, Borges
PRT, et al. Effectiveness of exercises by telerehabilitation on pain, physical
function and quality of life in people with physical disabilities: a systematic
review of randomised controlled trials with GRADE recommendations. Br J Sports
Med. 2021;55:155- 62.
https://doi.org/10.1136/bjsports-2019-101375
21. Gräsbeck R. Reference
values, why and how. Scand J Clin Lab Investig Suppl. 1990;201:45-53.
https://doi.org/10.1080/00365519009085800
22. Strassmann A, Steurer-Stey C,
Lana KD, et al. Population-based reference values for the 1-min sit-to-stand
test. Int J Public Health. 2013;58:949-53.
https://doi.org/10.1007/s00038-013-0504-z
23. Chávez-Velásquez M, Pedraza E, Montiel
M. Prevalencia de obesidad: estudio sistemático de la evolución
en 7 países de América Latina. Rev Chil Salud Pública. 2019;23:72.
https://doi.org/10.5354/0719-5281.2019.55063
24. Watson K, Winship P,
Cavalheri V, et al. In adults with advanced lung disease, the 1-minute
sit-to-stand test underestimates exertional desaturation compared with the
6-minute walk test: an observational study. J Physiother.
2023;69:108-13.
https://doi.org/10.1016/j.jphys.2023.02.001
25. Von Elm E, Altman DG, Egger
M, Pocock SJ, Gøtzsche PC, Vandenbroucke JP. The Strengthening the
Reporting of Observational Studies in Epidemiology (STROBE) statement:
guidelines for reporting observational studies. J Clin
Epidemiol. 2008;61:344-9.
https://doi.org/10.1016/j.jclinepi.2007.11.008
26. Royal College of
Physicians. Research on healthy volunteers:
a report of the Royal College of Physicians. J R Coll Physicians
Lond. 1986;20:3-17.
https://doi.org/10.1016/S0035-8819(25)02427-4
27. Ozalevli S, Ozden A, Itil O, Akkoclu A. Comparison of the Sit-to-Stand Test with 6min
walk test in patients with chronic obstructive pulmonary disease. Respir Med.
2007;101:286- 93.
https://doi.org/10.1016/j.rmed.2006.05.007
28. Bohannon RW. Reference Values
for the Five-Repetition Sit-to-Stand Test: A Descriptive Meta-Analysis of Data
from Elders. Percept Mot Skills. 2006;103:215-22.
https://doi.org/10.2466/pms.103.1.215-222
29. Sevillano-Castaño A, Peroy-Badal R,
Torres-Castro R, et al. Is there a learning
effect on 1-min sit-to-stand test in post- COVID-19 patients? ERJ Open Res.
2022;8:00189-2022.
https://doi.org/10.1183/23120541.00189-2022
30. Johnson MJ, Close L, Gillon SC,
Molassiotis A, Lee PH, Farquhar MC. Use of the modified Borg scale and
numerical rating scale to measure chronic breathlessness: a pooled data
analysis. Eur Respir J. 2016;47:1861-4.
https://doi.org/10.1183/13993003.02089-2015
31. Cruz-Montecinos C, Torres-Castro R,
Otto-Yáñez M, Barros-Poblete M, Valencia C, Campos A, et al. Which sit-to-stand test best differentiates functional capacity in older
people? Am J Phys Med Rehabil. 2024;
https://doi.org/10.1097/PHM.0000000000002504
32. Cole TJ. The LMS method for
constructing normalized growth standards. Eur J Clin Nutr. 1990;44:45-60.
33. Stagner WC, Jain A, Al-Achi
A, Haware RV. Employing Multivariate Statistics and Latent
Variable Models to Identify and Quantify Complex Relationships in Typical
Compression Studies. AAPS PharmSciTech. 2020;21:186. https://doi.org/10.1208/s12249-020-01712-1
34. Vilarinho R, Montes AM,
Noites A, Silva F, Melo C. Reference values for the 1-minute sit-to-stand and
5 times sit-to-stand tests to assess functional capacity: a cross-sectional
study. Physiotherapy. 2024;124:85-92.
https://doi.org/10.1016/j.physio.2024.01.004
35. Otto-Yáñez M, Torres-Castro R,
Barros-Poblete M, et al. One-minute
sit-to-stand test: Reference values for the Chilean population. PLOS ONE. 2025;20:e0317594.
https://doi.org/10.1371/journal.pone.0317594
36. Furlanetto KC, Correia NS, Mesquita R, et al. Reference Values for 7 Different Protocols of Simple Functional Tests: A
Multicenter Study. Arch Phys Med Rehabil. 2022;103:20-28.e5. https://doi.org/10.1016/j.apmr.2021.08.009
37. Lippi G, Blanckaert N, Bonini
P, et al. Causes, consequences, detection, and prevention of identification
errors in laboratory diagnostics. Clin Chem Lab Med.
https://doi.org/10.1515/CCLM.2009.045
38. Miller MR, Crapo R, Hankinson
J, et al. General considerations for lung function testing. Eur Respir J. 2005;26:153- 61.
https://doi.org/10.1183/09031936.05.00034505
39. Núñez-Cortés R, Rivera-Lillo G,
Arias-Campoverde M, et al. Use of sit-to-stand test to assess the physical capacity and exertional
desaturation in patients post COVID-19. Chron Respir Dis. 2021;18:1479973121999205.
https://doi.org/10.1177/1479973121999205
40. Vilarinho R, Montes AM, Melo
C. Age-related influence on reliability and learning effect in the assessment
of lower limb strength using sit-to-stand tests: A cross-sectional study. Health Sci Rep. 2024;7:e2064.
https://doi.org/10.1002/hsr2.2064