Autor : Larrateguy, Santiago1-2, Burgos, Santiago3, Iglesias, RocÃo4, Carrizo, Laura5, Cestari, MartÃn6, Saavedra, Santiago7, Cigarra, Cecilia8, Larrateguy, Luis2, Otto-Yáñez, MatÃas9, Gimeno-Santos, Elena10-11, Torres-Castro, Rodrigo12
1Universidad Adventista del Plata, Entre RÃos (Argentina) 2 Centro Privado de Medicina Respiratoria, Entre RÃos (Argentina) 3Hospital Regional Ushuaia, Tierra del Fuego (Argentina) 4Centro Privado de Rehabilitación, Buenos Aires (Argentina) 5Consultorio Privado de Rehabilitación Respiratoria, Catamarca (Argentina) 6 Servicio KinesiologÃa Hospital Dr. H. Notti, Mendoza (Argentina) 7Servicio de medicina fÃsica y rehabilitación, Hospital Alemán, CABA (Argentina), 8HIGA Petrona Villegas de Cordero, Buenos Aires (Argentina) 9Grupo de Investigación en Salud, Funcionalidad y Actividad FÃsica (GISFAF), KinesiologÃa, Facultad de Ciencias de la Salud, Universidad Autónoma de Chile, Santiago (Chile) 10Instituto de Salud Global de Barcelona (ISGlobal), Barcelona (España) 11Hospital ClÃnic de Barcelona, Instituto de Investigaciones Bimédicas August Pi i Sunyer (IDIBAPS), Barcelona (España) 12Departamento de KinesiologÃa, Universidad de Chile, Santiago (Chile)
https://doi.org./10.56538/ramr.VHCF7121
Correspondencia : Rodrigo Torres-Castro. E-mail: rodritorres@uchile.cl
RESUMEN
Introducción: La prueba de sentarse y pararse en un minuto (1min-STST) es una prueba de
campo utilizada para evaluar la capacidad física. Es de fácil
implementación y tiene una gran utilidad clínica; sin embargo, no
existen valores de referencia disponiÂbles actualmente para la población
argentina. El objetivo de este estudio fue establecer valores de referencia
para el 1min-STST en una población argentina sana.
Materiales y métodos: Se llevó a cabo un estudio transversal multicéntrico,
con recolección de datos en siete localidades de Argentina. Se
reclutaron adultos sanos entre 18 y 80 años. Se registraron variables
antropométricas, estado de tabaquismo, calificaciones en la escala de Borg y el número de repeticiones durante el
1min-STST, entre otras. Los valores de referencia se determinaron según
sexo y rango etario.
Resultados: Se incluyeron en el estudio 314 sujetos sanos (50,6 % mujeres, n =
159; mediana de altura de 168,7 cm (9,1), peso de 75,4 kg (14,7) y un IMC
promedio de 22,3 ± 3,7 kg/m². La mediana (y el límite inferior de
normalidad [LIN]) para el 1min-STST en hombres varió de 44 (LIN 22)
repeticiones para aquellos entre 20 y 29 años a 22 (LIN 19) repeticiones
para aquellos entre 70 y 80 años. Para mujeres de 20-29 años, la
mediana fue de 46 (LIN 17) repeticiones, mientras que para aquellas de 70-80,
la mediana fue de 30 (LIN 17) repeticiones.
Conclusiones: Este estudio estableció valores de referencia para la
población adulta sana de Argentina y proporcionó una herramienta
útil para evaluar la capacidad funÂcional mediante el 1min-STST.
Palabras clave: Capacidad funcional, Pruebas de campo, Valores de referencia, Prueba de
sentarse y pararse, Rendimiento físico
ABSTRACT
Background: The one-minute sit-to-stand test (1min-STST is a field test used to
assess physical capacity. It is easy to use and has great clinical utility;
however, no reference values are currently available for the Argentine
population. The objective of this study was to establish reference values for
the 1min-STST in a healthy Argentine population.
Methods: A multicenter cross-sectional study was conducted, collecting data from
seven locations across Argentina. Healthy adults aged 18 to 80 were recruited. An thropometric variables, smoking
status, Borg scale ratings, and number of repetitions during the 1min-STST were
recorded, among other variables. Reference values were determined by sex and
age range.
Results: The study included 314 healthy subjects (50.6% women, n=159; median
height of 168.7 cm [9.1], weight of 75.4 kg [14.7], and an average BMI [Body
Mass Index] of 22.3 ± 3.7 kg/m²). The median (and the lower limit of normality,
LLN) for the 1min-STST in men ranged from 44 repetitions (LLN 22) for those
aged 20-29 to 22 repetitions (LLN 19) for those aged 70-80. For women aged
20-29, the median was 46 repetitions (LLN 17), while for those aged 70-80, it
was 30 (LLN 17).
Conclusions: This study established reference values for the healthy adult population
of Argentina, providing a useful tool for assessing functional capacity using
the 1-min STST.
Key words: Functional Capacity, Field Tests, Reference Values, Sit-to-Stand Test,
Physical Performance
Recibido: 10/12/2024
Aceptado: 14/02/2025
INTRODUCCIÓN
La capacidad funcional se define como la habiliÂdad para
realizar las tareas diarias en el hogar, la escuela o el trabajo con la
suficiente energía para disfrutar de actividades recreativas y enfrentar
períodos de esfuerzo adicional o enfermedad.1
Esta capacidad implica diversos aspectos, como la fuerÂza, la
resistencia, la flexibilidad y la velocidad, los cuales tienen un impacto
directo en el rendimiento físico y la salud general.2
La capacidad funcional es esencial no solo para las actividades
cotidianas, sino también para la participación en deportes y
actividades recreativas.2
La evaluación de la capacidad funcional es un
proceso fundamental para determinar el nivel de condición física
de una persona.3 Esta
evaluación puede llevarse a cabo en entornos de laboratorio o mediante
pruebas de campo.4 Cada
método tiene ventajas y desventajas: el laboratorio proÂporciona
mediciones más precisas y controladas, como el análisis de gases
y lactato, mientras que las pruebas de campo resultan más
prácticas y accesibles para los profesionales clínicos al medir
el rendimiento en situaciones más representativas de la vida diaria.5 Las pruebas
de campo adquieren particular importancia cuando los recursos para evaluaciones
de laboratorio son limitados, ya que permiten obtener una estimación
razonable de la capacidad funcional sin requerir equipos costoÂsos o
especializados.6 Además,
estas pruebas son especialmente útiles en áreas donde el acceso a
instalaciones de laboratorio es limitado, dado que proporciona una
visión integral del estado físico de la población.7
La prueba de caminata de seis minutos (PC6M) se ha
utilizado ampliamente como un estándar para evaluar la capacidad
funcional en diversos grupos poblacionales debido a su simplicidad y eficacia.6 Sin embargo,
en contextos donde no es posible realizar la PC6M, ya sea por falta de un
espacio adecuado, la prueba de sentarse y pararse durante un minuto (1min-STST)
surge como una alternativa viable.9.
El 1min-STST ha demostrado ser particularmente valioso para evaluar y moÂnitorear
pacientes con afecciones respiratorias o cardiovasculares, ya que proporciona
información relevante sobre la capacidad funcional de estos pacientes,
así como sobre la efectividad de las terapias implementadas.1 Además,
estudios reÂcientes indican que el 1min-STST puede ser una herramienta
válida y confiable para medir la caÂpacidad funcional en pacientes con
enfermedades respiratorias crónicas.12, 13
La bibliografía existente ha demostrado las
propiedades psicométricas del 1min-STST para cuantificar la capacidad
funcional y respalda su validez y fiabilidad.14, 15 Asegurar la validez y la consistencia de estas
pruebas es fundamental para medir de forma precisa la capacidad funcional de un
individuo.16
Gracias a sus características, el 1min-STST ha
encontrado un lugar relevante en el campo de la rehabilitación en tanto
que actúa como una heÂrramienta accesible y efectiva para el monitoreo
de pacientes en la atención primaria de salud y en la
telerrehabilitación.17,
18 Esta
modalidad permite una administración más conveniente y accesible
porque facilita la evaluación remota y el seguiÂmiento del progreso de
los pacientes con el paso del tiempo.19
Esto resulta beneficioso tanto para los profesionales de la salud
como para los pacientes, lo que mejora la calidad de la rehabilitación y
de la atención proporcionada.20
Para interpretar los resultados obtenidos con el
1min-STST, es crucial contar con valores de refeÂrencia que permitan determinar
si el rendimiento de un individuo se encuentra dentro de los rangos normales
según su grupo de edad y condiciones específicas.21
Actualmente, los valores de referenÂcia más utilizados
provienen de población Suiza.22
quienes ofrecen datos normativos que pueden ser utilizados para
interpretar los resultados en diferentes poblaciones y contextos
clínicos. Sin embargo, estos valores fueron establecidos en una
población con características distintas en cuanto a estilo de
vida, menos sedentarismo y con menor prevalencia de obesidad que la
población latinoaÂmericana, lo cual podría sobreestimar el rendiÂmiento
esperado para los sujetos locales.23 Además,
estudios recientes han encontrado diferencias importantes en las respuestas
cardiorrespiratorias entre el PM6M y el 1min-STST en adultos con enfermedades
pulmonares avanzadas y destacan la necesidad de adaptar los valores de
referencia a cada contexto clínico.24
Aunque los valores de referencia existentes sirven como
punto de partida, es crucial consideÂrar la variabilidad entre diferentes
poblaciones y contextos. Factores como la edad, el sexo, el nivel de actividad
física y condiciones específicas de salud pueden influir en los
resultados.21 Existen
razones étnicas, antropométricas, socioculturales y
dietéticas que justifican la necesidad de estaÂblecer valores de
referencia locales para evaluar la capacidad funcional de manera más
precisa y personalizada. Por esta razón, el objetivo de este estudio fue
determinar los valores de referencia del 1min-STST para una población
adulta sana en Argentina, de entre 18 y 80 años.
Metodología
Se realizó un estudio transversal en siete centros
de atención primaria de salud y centros de rehabiÂlitación
ubicados en distintas regiones geográficas de Argentina (Paraná,
Ciudad Autónoma de BueÂnos Aires, Tandil, Ushuaia, Catamarca, Mendoza y
San Fernando) entre diciembre de 2022 a sepÂtiembre de 2023. Las ciudades
fueron seleccionadas intencionalmente para abarcar diferentes zonas del
país y aumentar la representatividad geográfiÂca. El estudio fue
aprobado por el Comité de Ética «IPIER» CE000344. Todos los
participantes dieron su consentimiento por escrito. Este estudio se
llevó a cabo siguiendo las directrices de Strengthening
the Reporting of Observational studies in EpideÂmiology (STROBE).25
Los participantes fueron reclutados de la población
general, y se aplicó una estrategia uniforme en todos los centros. La
información sobre el estudio se difundió mediante afiches en
redes sociales de los reclutadores, afiches físicos colocados dentro y
fuera de los centros de evaluación, y correos electrónicos
dirigidos a las personas que mostraron interés voluntario en participar
y cumplían con los criterios de inclusión y ninguno de
exclusión. Los criterios de inclusión fueron adultos entre 18 y
80 años, autodeclarados como saludables,26 capaces de
realizar la maniobra de sentarse y pararse sin asistencia. Se excluyeron
sujetos con IMC ≥ 35, enfermedades respiratorias (agudas o
crónicas en los últimos 30 días), trastorÂnos musculoesqueléticos limitantes y enfermedaÂdes
cardíacas, neurológicas o neuromusculares que interfirieran con
la prueba. También se excluyó a quienes presentaban dificultades
para comprender o seguir instrucciones (Figura 1).

Mediciones
Cada participante fue evaluado en una única visita
siguiendo un orden de evaluación estandarizado. Primero se recogieron
las características antroÂpométricas y demográficas. Respecto
al estado de tabaquismo, los participantes indicaron si eran «nunca fumadores»,
«exfumadores» o «fumadores actuales».
La prueba de 1min-STST consistió en un movimiento
simple: pararse de una silla para adoptar la posición bípeda con
las caderas y rodillas en extensión completa y sin utilizar las
extremidades superiores como punto de apoyo.27
Se utilizó una silla estándar de 46 cm de altura
con soporte torácicolumbar y sin reposabrazos.28 Los
participantes se sentaron erguidos con la espalda contra el respaldo de la
silla que, a su vez, estaba apoyada contra la pared, las rodillas y caderas
flexionadas, y los pies apoyados en el suelo separados al ancho de los hombros.
Por otro lado, las manos estaban apoyadas en los hombros contralaterales con
los codos flexionados. La instrucción previa a la prueba indicaba que el
sujeto debía realizar el mayor número posible de repeticiones en
un minuto. Los evaluadores explicaron y demostraron la técnica de
sentarse y pararse a los participantes, quienes practicaÂron la
ejecución bajo supervisión. Se realizaron correcciones cuando fue
necesario para asegurar que la técnica se realizara correctamente antes
de proceder con la medición definitiva. El núÂmero de veces que
lograron sentarse y pararse completamente se registró como la variable
principal y se realizó una única medición del 1min-STST.29 Además,
tanto antes como después de la prueba, se evaluaron frecuencia de pulso
y SpO2 a
través de un pulsioxímetro Nonin® 9590 (Nonin
Medical Inc., Plymouth, MN, USA), disÂnea y la fatiga de miembros inferiores
mediante la escala de Borg modificada.30
Para garantizar la estandarización de las mediÂciones,
se llevaron a cabo sesiones de entrenamienÂto en las cuales se instruyó
a todos los evaluadores para que grabaran cómo realizaban la prueba en
tres oportunidades, utilizando un voluntario como prueba piloto. Estas
grabaciones se utilizaron para corroborar la correcta técnica de
evaluación y apego al protocolo del estudio. Una vez validados los
registros se autorizó el inicio de las mediciones para el centro del
evaluador.31
Análisis estadístico
Análisis descriptivo
Los datos fueron analizados utilizando el softÂware estadístico
IBM SPSS versión 25.0 (IBM Corporation, Armonk, NY, EE. UU.). Se empleó la prueba de Kolmogorov-Smirnov para verificar la distribución de
los datos. Las variables numéricas se presentaron como media y
desviación estándar (DE), y las variables cualitativas como
frecuencia y porcentaje. Además, se realizó un análisis de
correlación utilizando las pruebas de Pearson o Spearman,
según la distribución de los datos, para las variables
cuantitativas (edad, peso, altura, IMC, frecuencia cardíaca, SpO2, disnea y
fatiga de EEII) en relación con los resultados del 1min-STST. Para
establecer los valores de referencia, se utilizaron categorías definidas
previamente,32 y se
generaron percentiles normativos específicos por sexo y edad
(percentiles 2,5, 25, 50, 75 y 97,5). Se determinará el límite
inferior de normalidad (LIN) y el límite superior de normalidad (LSN)
con los percentiles 2,5 y 97,5, respectivamente.
Análisis predictivo
Para explorar los factores asociados al rendimiento en el
1min-STST, se utilizó una regresión lineal múltiple con el
número de repeticiones como vaÂriable dependiente. En el análisis
preliminar, se consideraron variables demográficas y clínicas,
que incluyen edad, sexo, altura, peso y antecedentes tabáquicos. Sin
embargo, solo se mantuvieron en el modelo final aquellas que aportaron
significativaÂmente al ajuste del modelo; se priorizó la simpliciÂdad y
la aplicabilidad clínica. La homocedasticidad
del modelo fue evaluada mediante la prueba de Breusch-Pagan.
Se utilizó el método enter para generar
el modelo predictivo más adecuado. Los resultados del modelo se
presentan con el coefiÂciente de determinación (R²) y el error
estándar de la estimación (RMSE). Se utilizaron gráficos
de dispersión para describir la relación entre la edad, el sexo y
el rendimiento en el 1min-STST.
Cálculo muestral
El tamaño muestral se
estimó mediante la fórmula de Cochran
para poblaciones grandes: n = (Z² * p * (1-p)) / e²,
donde Z corresponde al valor z para un nivel de confianza del 90%
(1,645), p a la proporÂción esperada (0,5) y e al margen
de error (0,05). El cálculo asumió un diseño muestral simple, sin considerar un efecto de diseño,
dado que el estudio buscó representar a la población general
medianÂte reclutamiento abierto en diferentes regiones del país. Bajo
estos parámetros, se determinó un tamaño mínimo
requerido de 271 participantes. No se realizó un ajuste adicional por
tasa de no respuesta para el cálculo.
RESULTADOS
De las 353 personas reclutadas, se excluyeron 39:
veinticinco por antecedentes de enfermedades cardíacas y catorce por
trastornos articulares que impedían la realización de la prueba.
Se analizaron los datos de 314 personas: 159 mujeres (50,6 %) y 155 hombres
(49,4 %). Entre los participantes, el 15,9 % se declaró fumador. Las
características demográficas y clínicas de la
población se describen a continuación (Tabla 1).

Los valores se presentan como n (%) para las frecuencias
y como media ± desviación estándar (D. E.) para las variables
continuas. IPA corresÂponde a índice Pack-Año. Los valores de
disnea y fatiga en miembros inferiores (EEII) se evaluaron mediante la escala
de Borg.
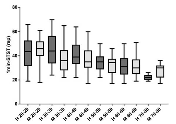
Se determinaron los valores de referencia del 1min-STST
para la población argentina, desglosaÂdos por sexo y rango etario (Tabla
2). En mujeres, la mediana del número de repeticiones varió de 46
repeticiones en el grupo de 20-29 años, a 30 repeÂticiones en el grupo
de mayor edad (70-80 años), lo que muestra una disminución
progresiva con la edad. Los hombres presentaron una mediana de 44 repeticiones
en el grupo de 20-29 años, y de 22 repeticiones en el mismo grupo de
mayor edad, lo que evidencia también una disminución con la edad
(Figura 2).


Se observa una diferencia en el número de
repeticiones en función del sexo: los hombres en los grupos de menor
edad tienden a tener valores más altos en comparación con las
mujeres del mismo grupo etario. Sin embargo, estas diferencias tienden a
disminuir en los grupos de mayor edad, donde los valores de hombres y mujeres
son más cercanos. Las Figuras 3 y 4 ilustran la relación entre
edad y repeticiones en mujeres y hombres; muestran las líneas de
regresión, las bandas de confianza del 95 % y el valor de p. La
prueba de Breusch-Pagan mostró evidencia
significativa de heterocedasticidad (p <
0,001), lo que indica que la varianza de los residuos no fue constante a lo
largo del rango de predicción.
Al analizar las correlaciones entre los valores del
1min-STST y la edad revelan una relación inversa moderada (rho de Spearman = –0,485; p < 0,001). Se observa una
correlación muy baja e inversa con el peso (rho de Spearman
= –0,081; p = 0,152) y una correlación débil e inversa con
el IMC (rho de Spearman = –0,130; p = 0,022).
No hubo una correlación significativa con la altura (rho de Spearman = 0,093; p = 0,100).


Ecuación de referencia
En el análisis de regresión lineal, las
variables edad, altura y sexo resultaron ser predictores significativos, donde
la edad y altura mostraron una asociación negativa (es decir, a mayor
edad y mayor altura, menor número de repeticiones), y ser hombre se
asoció con un aumento en el rendimienÂto. Con base en los coeficientes
proporcionados, la ecuación predictiva del número de repeticiones
para la prueba de 1min-STS es:
1 min-STST(rep) = 80,324 – 0,372 ×
Edad – 0,168 × Altura + 4,075 × Sexo
Donde, la edad se expresa en años; la altura, en
centímetros y el sexo se codifica como 0 para mujeres y 1 para hombres. El
modelo presenta una R² de 0,26 (p < 0,001) y un RMSE de 10,1. El
desarrollo de la ecuación se basó en un anáÂlisis
exploratorio que incluyó variables demoÂgráficas y
clínicas potencialmente asociadas al rendimiento en el 1min-STST, como
edad, sexo, talla, peso y antecedentes tabáquicos. Variables como el
peso, la talla, el IMC, antecedentes tabáquicos, no mostraron
asociaciones estaÂdísticamente significativas en el modelo final. Por
estos motivos, solo se incluyeron aquellas que presentaron asociación estadísticamente
significativa.
DISCUSIÓN
Este estudio estableció valores de referencia para
el 1min-STST en adultos sanos de 18 a 80 años en Argentina y
proporcionó una herramienta para interpretar los resultados clínicos
en contextos donde faltan datos normativos locales. Al ofrecer estos valores de
referencia, esta investigación pretende proporcionar información
valiosa y orientación para evaluar el rendimiento en el 1min-STST en
poblaciones con características demográficas comparables, lo que
ayuda a los profesionales de la salud y a los investigadores a evaluar la
capacidad funcional de una manera más contextualizada.
La importancia de adaptar los valores de refeÂrencia a la
población local no debe subestimarse,21
ya que el uso de estándares internacionales puede no
reflejar con precisión las características de nuestra
población. En este sentido, una fortaleza de nuestro estudio fue la
estandarización del proÂtocolo en todos los centros participantes, lo
que garantiza que los datos obtenidos sean consistenÂtes, comparables y
representativos de la diversidad geográfica y demográfica de
Argentina.
Nuestros resultados mostraron que el rendimienÂto en el
1min-STST disminuye con la edad, con una correlación inversa moderada
(rho de Spearman = –0,485; p < 0,001), lo
que refleja la tendencia general de reducción de la capacidad funcional
con el envejecimiento en ambos sexos. Esto coincide con estudios previos que
identifican la edad como un factor clave asociado al desempeño en esta
prueba.22 Sin embargo,
al analizar esta asociación de manera diferenciada por sexo, observamos
que la capacidad explicativa de la edad fue mayor en hombres (R² = 0,29) que en
mujeres (R² = 0,19), aunque en ambos casos se mantuvo limitada. AdeÂmás,
no se encontraron correlaciones significativas con la altura (rho = 0,093; p
= 0,100), mientras que el peso y el IMC mostraron correlaciones muy bajas o
débiles, respectivamente. Sin embargo, la altura sí
resultó ser una variable significativa en el modelo multivariable.
Esto puede explicarse porque la regresión ajusta el efecto de cada
variable consiÂderando simultáneamente las demás, lo que revela
su contribución independiente al rendimiento en el 1min-STST, que no es
evidente en el análisis bivaÂriado. Este
fenómeno ha sido descrito previamente, donde análisis bivariados pueden ocultar relaciones latentes que se
evidencian solo en modelos multivaÂriables más
completos.33 Estos
hallazgos refuerzan que, si bien la edad es el principal determinante observado
en nuestra población, otros factores antropométricos parecen
tener una influencia meÂnor en el rendimiento del 1min-STST. La ecuación
multivariable, que incorporó edad, sexo y
altura como predictores, mostró una capacidad explicatiÂva limitada (R²
= 0,26), lo que indica que existen otros factores no considerados que
podrían influir en el rendimiento del 1min-STST. Cabe señalar que
el modelo no fue sometido a pruebas adicionales de validación interna,
normalidad de residuos o multicolinealidad, y presentó
heterocedasticidad, lo que restringe la
precisión de sus estimaciones. Por estas razones, debe interpretarse
como una herramienta exploratoria y orientativa, y no como un modelo predictivo
definitivo para uso clínico. A pesar de estas limitaciones, el desempeño
del modelo es consistente con lo reportado en la bibliografía.34 propusieron
una ecuación basada en edad, sexo e IMC con un R² de 26 %, mientras que
en Chile,35 al incluir
edad y altura, reportaron un R² de 26 % en mujeres y 32 % en hombres. Aunque
las variables consideradas difieren parcialmente entre estudios, la capacidad
explicativa es similar, lo que refuerza la validez metodológica de
nuestra propuesta. Estas coincidencias sugieren que la limitada capacidad
predictiva observada es una característica común en este tipo de
modelos, probablemente atribuible a la influencia de múltiples factores
no capturados en estudios poblacionales.
Un aspecto importante de estos valores de reÂferencia es
la inclusión de sujetos con un IMC de hasta 35 kg/m². La
justificación de esta elección se debe al hecho de que la
población latinoameÂricana presenta tasas significativas de sobrepeso y
obesidad, que, a menudo, superan el 25 % de la población total.23 Por lo tanto,
desde una perspecÂtiva clínica, se anticipa que entre dos a tres de cada
diez usuarios finales de estas pruebas presentarán obesidad. Cabe
destacar que nuestro enfoque está alineado con estudios previos, como el
de Furlanetto y cols., quienes también
emplearon un valor del IMC mayor que el considerado normopeso.36
Otro de los aspectos fundamentales de tener valores de
referencia propios es que el hecho de utilizar valores estandarizados de otras
poblaÂciones podría llevar a interpretaciones erróneas y
diagnósticos incorrectos, ya que las variaciones individuales
podrían no ser adecuadamente teniÂdas en cuenta.37 Por lo tanto, la Declaración de
la ATS/ERS recomienda tener valores de referencia de la misma población
en la que se aplicarán los procedimientos.38
Esto es especialmente relevanÂte si consideramos que, en ciertas
poblaciones, como los pacientes con hipertensión de la arteria pulmonar,
el rendimiento en el 1min-STST ha mostrado una fuerte correlación con la
calidad de vida y la limitación funcional. De este modo, utilizar
referencias que no reflejen la realidad de estas condiciones específicas
podría tener como resultado una subestimación o
sobreestimación del estado de salud funcional.13
Un punto importante que considerar es cuán
representativa es la muestra en el contexto de la población argentina.
Mientras que el estudio de Strassman y cols.
incluyó cerca de 7000 sujetos,22
alÂcanzar tal número es un gran desafío,
especialmente en el grupo de más de 60 años. Comparativamente, en
estudios previos de América Latina, Furlanetto
y cols. evaluaron a cerca de trescientos individuos en Brasil, un país
con una población de 215 millones. Nuestros valores de referencia fueron
derivados de poco más de trescientos sujetos en una población de
45 millones. Aunque el cálculo del tamaño muesÂtral
se realizó con un nivel de confianza del 90 %, alcanzar una muestra
más grande en el grupo de mayores de 60 años sigue siendo un
desafío debido a las condiciones de salud prevalentes y el estilo de
vida sedentario de este grupo.
Diversos estudios realizados en los últimos
años en nuestra población, especialmente en paÂcientes
poscovid-19, han utilizado los valores de Strassman.20, 39 Dado que los valores suizos son un 30 %
más altos que los nuestros, ha habido una subestimación de la
capacidad funcional. Esto refuerza la idea de contar con nuestros propios
valores para una caracterización adecuada de la población local.
Nuestros valores medianos (p50) muestran tanto
similitudes como diferencias respecto a los reportados en estudios
brasileños sobre el 1min-STST.36
Cabe destacar que dichos estudios expresan los resultados en
medias, mientras que en nuestro caso se presentan como medianas, lo que
podría afectar la comparación directa. En muÂjeres de 60 a 69
años, observamos 30 repeticiones, ligeramente por encima del promedio
brasileño de 29 repeticiones (3,4 % más). En contraste, en
hombres de 70 a 80 años, el rendimiento fue menor, con 22 repeticiones
frente a las 27 reportadas en Brasil (18,5 % menos). En la mayoría de
los grupos etarios, sin embargo, los resultados fueron consisÂtentemente
superiores. Por ejemplo, en mujeres de 20 a 29 años se alcanzaron 46
repeticiones, un 21 % más que las 38 reportadas en Brasil, y en hombres
de 40 a 49 años, 39 repeticiones frente a 31, lo que representa una
diferencia del 26 %.
Estas diferencias pueden explicarse por varios factores,
tales como por características demográÂficas y
antropométricas. Factores socioculturales, como niveles más altos
de actividad física o difeÂrencias en estilos de vida, podrían
ser también determinantes.
En comparación con los valores presentados por Strassmann y cols.,22
se observaron diferencias sigÂnificativas en varios grupos
etarios. En mujeres de 60 a 69 años, nuestros resultados (30
repeticiones) fueron ligeramente inferiores a los 33 reportados por ese
estudio. De manera similar, en hombres de 40 a 49 años, Strassmann informó 45 repetiÂciones, seis más
que las 39 observadas en nuestra muestra. Este patrón de mayor
rendimiento según Strassmann se repitió
en otros grupos, como en mujeres de 40 a 49 años (42 versus 35
repeticiones, respectivamente). Una excepción se observó en
mujeres de 70 a 80 años, donde nuestros valores superaron en dos
repeticiones (30 versus 28) a los de Strassmann. En
cambio, en hombres de ese mismo rango etario, nuestros resultados fueron
nuevamente inferiores (22 versus 24 repeticiones).
En resumen, los valores reportados previamenÂte por Strassmann mostraron consistentemente un rendimiento
superior en hombres y mujeres mayores, mientras que los valores de Furlanetto tienden a ser más similares a los
nuestros.22,
36 Nuestros
valores difieren de los mostrados en la biÂbliografía, especialmente con
respecto a los valores masculinos que son más bajos comparados con los
de Strassmann. La explicación más
probable es un sesgo de selección debido al tamaño relativamente
pequeño de la muestra en algunos subgrupos.
Una limitación de nuestro estudio es el
númeÂro reducido de sujetos mayores de 60 años. Esto puede
deberse a que los adultos mayores tienden a tener un estilo de vida sedentario
y una mayor prevalencia de enfermedades no transmisibles, lo que dificulta la
obtención de una población considerada «saludable». La
categorización de individuos aparentemente sanos se determinó
mediante autoinforme y la ausencia de condicioÂnes
médicas diagnosticadas. No obstante, vale la pena señalar que
incluir individuos con condiÂciones no diagnosticadas es una
característica prevalente en estudios que involucran amplias muestras
poblacionales destinadas a establecer parámetros de referencia. Otra
limitación de este estudio es que el muestreo no tuvo un enfoque
probabilístico. Esto podría haber introducido un sesgo en la
selección de los participantes, ya que aquellos que aceptaron la
invitación poÂdrían diferir en características de aquellos
que no participaron. Un aspecto no registrado fue la caracterización
socioeconómica que podría haber influido en los resultados. Otra
limitación metodológica es que el criterio de salud se
basó en autorreporte, una práctica
común en estuÂdios poblacionales,26
aunque reconocemos que esta estrategia puede no excluir
completamente condiciones no diagnosticadas.
Finalmente, otra limitación es que realizamos solo
una repetición del 1min-STST. La bibliografía no es clara
respecto a si esta prueba tiene un efecto de aprendizaje, sin embargo, parece
que en sujetos sanos o aquellos sin una capacidad funcional susÂtancialmente
reducida podría existir un efecto de aprendizaje que Furlanetto
y cols. estimaron en una repetición.36
Otro artículo reciente sugiere que tres repeticiones de la
prueba de 1min-STST son necesarias para observar el rendimiento verdadero de un
individuo joven, sin embargo, en adultos mayores un solo intento puede ser
suficiente.40 Sin duda, no
hay consenso sobre el número de pruebas requeridas, y parece que los
individuos sanos presentan un mayor efecto de aprendizaje que las personas con
enfermedades. Por lo tanto, los estudios futuros deberían explorar si
estrateÂgias como la práctica de la ejecución de la prueba
reducen este efecto de aprendizaje.
CONCLUSIÓN
Se determinaron los valores de referencia para la prueba
de 1min-STST en la población argentina sana de entre 18 y 80
años. Estos valores proporÂcionan un medio sencillo y económico
para medir la capacidad funcional. Pueden ser de gran utilidad para evaluar y
determinar los efectos de intervenÂciones que involucren la evaluación
de la capacidad funcional mediante esta prueba.
Conflicto de interés
Los autores declaran no tener conflicto de interés
para esta investigación.
Financiamiento
No se recibió financiamiento para esta
investigación
BIBLIOGRAFÍA
1. Barnekow-Bergkvist
M, Hedberg G, Janlert U, Jansson E. Development of muscular endurance and strength
from adÂolescence to adulthood and level of physical capacity in men and women
at the age of 34 years. Scand J Med Sci Sports. 1996;6:145-55.
https://doi.org/10.1111/j.1600-0838.1996.tb00082.x
2. Vanhees
L, Lefevre J, Philippaerts
R, et al. How to assess physical activity? How to assess physical fitness? Eur J Cardiovasc Prev Rehabil. 2005;12:102-14. https://doi.org/10.1097/00149831-200504000-00004
3. American College of Sports
Medicine, Liguori G, Feito
Y, Fountaine CJ, Roy B, editores.
ACSM’s guidelines for exercise testing and prescription.
Eleventh edition. PhilaÂdelphia Baltimore New York
London Buenos Aires Hong Kong Sydney Tokyo: Wolters
Kluwer; 2022. 513 p.
4. Torres-Castro R, Núñez-Cortés R, Larrateguy S, Alsina- Restoy X, Barberà JA, Gimeno-Santos E, et al. Assessment of Exercise Capacity in Post-COVID-19 Patients: How Is the
Appropriate Test Chosen Life. 2023;13:621. https://doi.org/10.3390/life13030621
5. Tran D. Cardiopulmonary
Exercise Testing. En: Guest PC, editor. Investigations of
Early Nutrition Effects on Long-Term Health [Internet]. New York, NY:
Springer New York; 2018 [citado 19 de noviembre de 2024]. p. 285- 95. (Methods in Molecular Biology; vol. 1735).
https://doi.org/10.1007/978-1-4939-7614-0_18
6. Holland AE, Spruit MA, Troosters T, et al. An
official European Respiratory Society/American Thoracic Society technical
standard: field walking tests in chronic respiraÂtory disease. Eur Respir J. 2014;44:1428-46.
https://doi.org/10.1183/09031936.00150314
7. Fell BL, Hanekom
S, Heine M. Six-minute walk test protocol variations in low-resource settings –
A scoping review. South Afr J Physiother
2021;77:1549. https://doi.org/10.4102/sajp.v77i1.1549
8. Kronberger
C, Mousavi RA, Öztürk
B, Willixhofer R, Dachs TM,
Rettl R, et al. Functional capacity testing in
patients with pulmonary hypertension (PH) using the one-minute sit-to-stand
test (1-min STST). PLOS ONE. 2023;18:e0282697.
https://doi.org/10.1371/journal.pone.0282697
9. Peroy-Badal R,
Sevillano-Castaño A, Torres-Castro R, et al. Comparison of different field tests to assess the physical capacity of
post-COVID-19 patients. PulmonolÂogy. enero de
2024;30:17-23. https://doi.org/10.1016/j.pulmoe.2022.07.011
10. Spence JG, Brincks J, Løkke A, Neustrup L, Østergaard EB.
One-minute sit-to-stand test as a quick functional test for people with COPD in
general practice. Npj Prim Care Respir
Med. 2023;33:11.
https://doi.org/10.1038/s41533-023-00335-w
11. Kronberger
C, Mousavi RA, Öztürk
B, et al. Exercise capacÂity assessed with the one-minute sit-to-stand test
(1-min STST) and echocardiographic findings in patients with heart failure with
preserved ejection fraction (HFpEF). Heart Lung. 2022;55:134-9.
https://doi.org/10.1016/j.hrtlng.2022.05.001
12. Crook S, Büsching
G, Schultz K, Lehbert N, Jelusic
D, Keusch S, et al. A multicentre validation of the 1-min sit-to-stand test in
patients with COPD. Eur Respir
J. 2017;49:1601871.
https://doi.org/10.1183/13993003.01871-2016
13. Kronberger
C, Willixhofer R, Mousavi
RA, Grzeda MT, Litschauer
B, Krall C, et al. The one-minute sit-to-stand-test performance is associated
with health-related quality of life in patients with pulmonary hypertension. PLOS ONE. 2024;19:e0301483.
https://doi.org/10.1371/journal.pone.0301483
14. Tanriverdi
A, Kahraman BO, Ozpelit E, Savci S. Test–ReÂtest Reliability and Validity of 1-Minute
Sit-to-Stand Test in Patients With Chronic Heart Failure. Heart Lung Circ. 2023;32:518-24. https://doi.org/10.1016/j.hlc.2023.01.008
15. Bohannon RW, Crouch R.
1-Minute Sit-to-Stand Test: SYSTEMATIC REVIEW OF PROCEDURES, PERFORÂMANCE, AND
CLINIMETRIC PROPERTIES. J CardioÂpulm
Rehabil Prev. 2019;39:2-8.
https://doi.org/10.1097/HCR.000000000000033635
16. Souza ACD, Alexandre NMC, Guirardello
EDB, Souza ACD, Alexandre NMC, Guirardello EDB. Propriedades psicométricas na
avaliação de instrumentos: avaliação da confiabilidade
e da validade. Epidemiol E Serviços Saúde.
2017;26:649-59. https://doi.org/10.5123/S1679-49742017000300022
17. Sisó-Almirall A,
Brito-Zerón P, Conangla
Ferrín L, et al. Long Covid-19: Proposed Primary Care Clinical Guidelines for Diagnosis
and Disease Management. Int J Environ Res Public
Health. 2021;18:4350.
https://doi.org/10.3390/ijerph18084350
18. Dalbosco-Salas
M, Torres-Castro R, Rojas Leyton A, et al.
Effectiveness of a Primary Care TelerehabilitaÂtion
Program for Post-COVID-19 Patients: A Feasibility Study. J Clin
Med. 2021;10:4428. https://doi.org/10.3390/jcm10194428
19. Holland AE, Malaguti C, Hoffman M, et al. Home-based or remote exercise
testing in chronic respiratory disease, during the COVID-19 pandemic and
beyond: A rapid review. Chron Respir
Dis. 2020;17:1479973120952418.
https://doi.org/10.1177/1479973120952418
20. Dias JF, Oliveira VC, Borges
PRT, et al. Effectiveness of exercises by telerehabilitation
on pain, physical function and quality of life in people with physical
disabilities: a systematic review of randomised
controlled trials with GRADE recommendations. Br J Sports Med. 2021;55:155- 62. https://doi.org/10.1136/bjsports-2019-101375
21. Gräsbeck
R. Reference values, why and how. Scand J Clin Lab Investig Suppl. 1990;201:45-53. https://doi.org/10.1080/00365519009085800
22. Strassmann
A, Steurer-Stey C, Lana KD, et al. Population-based
reference values for the 1-min sit-to-stand test. Int J Public Health.
2013;58:949-53. https://doi.org/10.1007/s00038-013-0504-z
23. Chávez-Velásquez M, Pedraza E, Montiel
M. Prevalencia de obesidad: estudio sistemático de la evolución
en 7 países de América Latina. Rev Chil Salud Pública. 2019;23:72.
https://doi.org/10.5354/0719-5281.2019.55063
24. Watson K, Winship
P, Cavalheri V, et al. In adults with advanced lung
disease, the 1-minute sit-to-stand test underestimates exertional
desaturation compared with the 6-minute walk test: an observational study. J Physiother. 2023;69:108-13. https://doi.org/10.1016/j.jphys.2023.02.001
25. Von Elm E, Altman DG, Egger
M, Pocock SJ, Gøtzsche
PC, Vandenbroucke JP. The Strengthening the ReportÂing
of Observational Studies in Epidemiology (STROBE) statement: guidelines for
reporting observational studies. J Clin
Epidemiol. 2008;61:344-9.
https://doi.org/10.1016/j.jclinepi.2007.11.008
26. Royal College of
Physicians.Research on healthy volunÂteers:
a report of the Royal College of Physicians. J R Coll Physicians Lond. 1986;20:3-17. https://doi.org/10.1016/S0035-8819(25)02427-4
27. Ozalevli
S, Ozden A, Itil O, Akkoclu A. Comparison of the
Sit-to-Stand Test with 6min walk test in patients with chronic obstructive
pulmonary disease. Respir Med. 2007;101:286-
93. https://doi.org/10.1016/j.rmed.2006.05.007
28. Bohannon RW. Reference Values
for the Five-Repetition Sit-to-Stand Test: A Descriptive Meta-Analysis of Data
from Elders. Percept Mot Skills.
2006;103:215-22. https://doi.org/10.2466/pms.103.1.215-222
29. Sevillano-Castaño A, Peroy-Badal
R, Torres-Castro R, et al. Is there a learning
effect on 1-min sit-to-stand test in post- COVID-19 patients? ERJ Open Res.
2022;8:00189-2022.
https://doi.org/10.1183/23120541.00189-2022
30. Johnson MJ, Close L, Gillon SC, Molassiotis A, Lee PH,
Farquhar MC. Use of the modified Borg scale and numerical rating scale to
measure chronic breathlessness: a pooled data analysis. Eur Respir
J. 2016;47:1861-4. https://doi.org/10.1183/13993003.02089-2015
31. Cruz-Montecinos C,
Torres-Castro R, Otto-Yáñez M, Barros-Poblete M, Valencia C,
Campos A, et al. Which sit-to-stand test best
differentiates functional capacity in older people? Am J Phys
Med Rehabil. 2024; https://doi.org/10.1097/PHM.0000000000002504
32. Cole TJ. The LMS method for
constructing normalized growth standards. Eur J Clin Nutr. 1990;44:45-60.
33. Stagner
WC, Jain A, Al-Achi A, Haware
RV. Employing Multivariate Statistics and Latent Variable
Models to Identify and Quantify Complex Relationships in Typical Compression
Studies. AAPS PharmSciTech.
2020;21:186.
https://doi.org/10.1208/s12249-020-01712-1
34. Vilarinho
R, Montes AM, Noites A, Silva F, Melo
C. RefÂerence values for the 1-minute sit-to-stand and 5 times sit-to-stand
tests to assess functional capacity: a cross-sectional study. Physiotherapy. 2024;124:85-92. https://doi.org/10.1016/j.physio.2024.01.004
35. Otto-Yáñez M, Torres-Castro R,
Barros-Poblete M, et al. One-minute
sit-to-stand test: Reference values for the ChilÂean population. PLOS ONE. 2025;20:e0317594. https://doi.org/10.1371/journal.pone.0317594
36. Furlanetto KC, Correia NS, Mesquita R, et al. Reference Values for 7 Different Protocols of Simple Functional Tests: A
MulÂticenter Study. Arch Phys Med Rehabil. 2022;103:20-28.e5.
https://doi.org/10.1016/j.apmr.2021.08.009
37. Lippi G, Blanckaert
N, Bonini P, et al. Causes, conseÂquences, detection,
and prevention of identification errors in laboratory diagnostics. Clin Chem Lab Med.
https://doi.org/10.1515/CCLM.2009.045
38. Miller MR, Crapo R, Hankinson
J, et al. General considerÂations for lung function testing. Eur Respir
J. 2005;26:153- 61. https://doi.org/10.1183/09031936.05.00034505
39. Núñez-Cortés R, Rivera-Lillo G,
Arias-Campoverde M, et al. Use of sit-to-stand test to assess the physical capacity and exertional desaturation in patients post COVID-19. Chron Respir Dis.
2021;18:1479973121999205.
https://doi.org/10.1177/1479973121999205
40. Vilarinho
R, Montes AM, Melo C. Age-related influence on
reliability and learning effect in the assessment of lower limb strength using
sit-to-stand tests: A cross-sectional study. Health Sci Rep. 2024;7:e2064.
https://doi.org/10.1002/hsr2.2064